Matematikte altın oran nedir ve nasıl hesaplanır?
Altın oran, estetik ve matematik arasındaki ilişkiyi simgeler. İki miktar arasındaki özel bir oran olan bu kavram, sanat ve doğada sıkça karşımıza çıkar. Hesaplanması basit olan altın oran, görsel denge ve uyum arayan tasarımcılar için önemli bir referans noktasıdır.
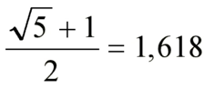
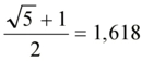
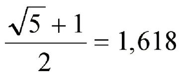
Matematikte Altın Oran Nedir?Altın oran, matematikte estetik ve oran kavramlarıyla ilişkilendirilen özel bir orandır. Genellikle "phi" (φ) sembolü ile gösterilen altın oran, iki miktar arasındaki oranın, daha büyük olan miktarın, daha küçük olan miktara oranıyla eşit olduğu bir durumdur. Altın oran, matematiksel olarak şu şekilde tanımlanır: Altın Oranın Tanımı:
Altın Oranın TarihçesiAltın oran, Antik Yunan döneminden beri matematik ve sanatın önemli bir parçası olmuştur. Bu oran, mimaride, resim sanatında ve doğada sıkça karşımıza çıkar. Örneğin, Parthenon Tapınağı'nın yapısında altın oran kullanılmıştır. Aynı zamanda Leonardo da Vinci gibi sanatçılar da eserlerinde altın oranı benimsemişlerdir. Altın Oranın ÖzellikleriAltın oran, birçok ilginç matematiksel özelliğe sahiptir. Bu özelliklerden bazıları şunlardır:
Altın Oranın HesaplanmasıAltın oranı hesaplamak için iki pozitif reel sayı a ve b (a >b) alınır. Bu durumda altın oran, aşağıdaki formülle hesaplanır:
Bu iki eşitlik, altın oranı sağlar. Eğer a ve b sayıları, altın oranı oluşturacak şekilde seçilirse, bu oran arasında daima aynı ilişkiyi koruyacaklardır. SonuçMatematikte altın oran, sadece teorik bir kavram olmanın ötesinde, estetik ve sanatın birçok alanında da önemli bir yer tutmaktadır. Estetik açıdan hoş bir görünüm sağladığı düşünülen altın oran, mimariden doğaya kadar pek çok alanda karşımıza çıkmaktadır. Altın oranı anlamak ve hesaplamak, matematiksel düşünme becerilerini geliştirmeye de katkı sağlar. Özetle, altın oran matematikte önemli bir yere sahip olup, hesaplanması ve kullanımı, sanatsal ve doğal bir denge yaratma açısından büyük bir değere sahiptir. |

















Altın oranı duyduğumda, gerçekten de matematik ve sanat arasındaki o derin bağlantıyı düşünmeden edemiyorum. Bu oran, doğada ve sanat eserlerinde sıkça karşımıza çıkıyor. Özellikle Parthenon Tapınağı gibi tarihi yapılar ve Leonardo da Vinci'nin eserleri gibi örnekler, altın oranın estetik bir değer taşıdığını gösteriyor. Matematiksel olarak tanımlanması ve hesaplanması oldukça ilginç; iki pozitif reel sayı arasındaki bu oranı anlamak, hem matematiksel düşünme becerilerini geliştirmek hem de sanatsal bir bakış açısı kazanmak için harika bir fırsat sunuyor. Peki, bu altın oranı günlük yaşamımızda nasıl daha fazla görebiliriz?
Altın Oranı Anlamak ve Gündelik Hayatta Kullanmak
Abdüșșekür, altın oran gerçekten de matematik ve sanat arasındaki derin bağlantıyı gözler önüne seren büyüleyici bir kavram. Bu oranı daha fazla gündelik yaşamımızda görebilmek için bazı yollar önerilebilir.
Doğada Altın Oran
Doğada altın oranı gözlemlemek için çevremizdeki bitki ve hayvanları inceleyebiliriz. Örneğin, yaprakların düzeni, çiçeklerin petal sayıları veya deniz kabuklarının spiral yapıları gibi birçok doğal formda bu oranı bulmak mümkündür. Bu gözlemler, doğanın estetik ve matematiksel dengesini anlamamıza yardımcı olur.
Sanat ve Tasarımda Uygulama
Sanat eserlerinde altın oranı kullanarak daha estetik görünümler elde edebiliriz. İç mekan tasarımında, mobilyaların yerleşimi, renklerin seçimi ve aydınlatma gibi unsurlarda bu oranı dikkate almak, daha hoş bir görünüm sağlayabilir. Ayrıca, fotoğrafçılıkta kompozisyon oluştururken altın oranı kullanmak, çekimlerin daha etkileyici olmasına katkı sağlar.
Eğitimde Matematiksel Düşünme
Altın oranı matematik derslerinde ele alarak, öğrencilere hem matematiksel düşünmeyi hem de sanatsal bakış açısını geliştirme fırsatı verebiliriz. Projeler ve görsel etkinlikler ile öğrencilerin bu kavramı keşfetmeleri, matematiği daha eğlenceli hale getirebilir.
Sonuç olarak, altın oranı gündelik yaşamımızda daha fazla görmek için doğayı gözlemlemek, sanatta ve tasarımda bu oranı uygulamak ve eğitimde kullanmak oldukça etkili yöntemlerdir. Bu şekilde, matematik ve sanat arasındaki o büyüleyici bağı daha iyi anlayabiliriz.